4.4.5太湖富营养化动态模型
太湖是我国第三大淡水湖,它不仅是旅游胜地,而且是流域内大中城市的重要供水源地,同时兼有航运、灌溉、养殖等多种功能。近年来,随着太湖地区经济的迅速发展,相应的环境保护和治理措施没有跟上,进入太湖的主要河道和湖区的水质污染日益严重,目前太湖水质已达富营养,局部重营养水平,它在湖周地区形成水质性缺水,严重影响湖区工农业生产和人民生活。
为治理太湖的富营养化问题,首先要对太湖的富营养化的生成过程有一个全面的了解。目前,国内很多学者都开展了对太湖富营养化的数值建模工作。由于浮游植物大量繁殖是湖泊富营养化的主要特征之一,以浮游植物作为模拟变量的主要方法有:使用限制因子假说来模拟浮游植物的生长;浮游植物初级生产力的估算和运用质量守恒定律来模拟浮游植物的生长等。在已见的报道关于太湖的文章中,前两种方法使用的比较多,且一般都没有考虑风场、水动力特征等环境因子对浮游植物的影响;而有些文章又仅仅只模拟了太湖的水动力特征,没有拓展对水质、藻类的模拟,本项目则在前人研究基础上,建立了太湖的富营养化生态学模型,与水动力模型相耦合,综合考虑了风场、水动力特征、光照、水温等环境因子的影响。借助该模型,对太湖水质指标TN,TP以及富营养化指标藻类叶绿素-a 产生过程进行了模拟。模拟结果表明,各采样点的TN,TP以及藻类叶绿素-a浓度的模拟值能较好的拟合实测值,模型各状态变量的描述是理想的,而且模型具有良好的稳定性,充分说明了该模型对太湖富营养化的产生过程具有较好的描述能力,从而能为制定太湖富营养化的有效控制措施提供技术支持。
由于在富营养化模型中,要用到水量模型和水质模型的计算结果,故将三者进行了耦合计算。水量模型采用垂向分层的三维模型,水质模型和富营养化模型采用垂向平均的二维模型,具体如下。
4.4.5.1三维水量模型
(1)基本方程组
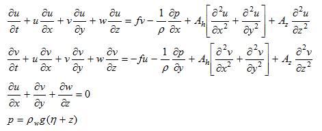
假设湖水为均匀不可压的流体,垂直方向上服从静水压力分布。采用笛卡尔左手直角坐标系,x轴和y轴位于湖水的平均水平面上,x轴向东为正,y轴向北为正,z轴向下为正,得其流体动力学方程为:

其中:u、v、w分别为x、y、z轴方向上的流速分量;η为垂直方向上湖面相对与平均水面的高度;ρW为水体密度;AZ、Ah分别为垂直和水平涡动粘滞系数;f为柯氏参数,f=7.23×10-5;g为重力加速度;p为水的压强。
(2)差分求解
模型采用的是半隐式有限差分方案,u、v定义在同一点上,且定义在整数格点上,η、w定义在半数格点上,网格距在水平方向上是常数,Dx、Dy为1km,水平网格点为81×81,在垂直方向上,由于考虑湖底地形,各层的分界面不是平面。由于运动方程中,u、v定义在同一点上,所以差分方程中,除柯氏力的符号外,形式上应完全相同。具体的差分方案在此不再详述。
(3)定解条件
1)边界条件:本文先考虑所有进出入太湖的河道水流,在陆地闭边界上,法向流速为零。
2)水面边界条件:

3)湖底边界条件:

4)初始条件
取水位变幅和初始流速为零。
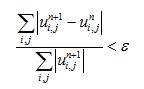
5)收敛条件
本文模型采用平均相对准则进行收敛判断(下同),在水量模型中,即为:

其中,u是i、j网格点上x向流速与y向流速合成后的数值,取ε=10-5。
4.4.5.2 二维水质模型
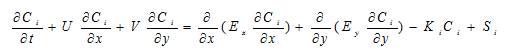
水质方程是以质量平衡方程为基础的,由于三维水质输移方程包涵很多不可确定的参数,在现有条件下,模型的验证存在困难,考虑到资料及模型计算工作量等因素,采用二维水质模型,基本方程为:

式中:Ci为TN,TP的浓度;U,V分别为X、Y方向上的流速分量;Ex,Ey分别为X,Y向的扩散系数;Ki分别为TN,TP的降解系数;Si分别为TN、TP的底泥释放系数。
4.4.5.3太湖富营养化模型
由于浮游植物的大量繁殖是富营养化水体的重要标志,也是造成危害的主要因素,而叶绿素a是浮游植物现存量的重要指标,水体叶绿素a含量的高低能够反映水体的营养状况。因此,叶绿素a常作为湖泊富营养化调查的一个重要参数,并且在水体富营养状况评价中起关键作用。故本文以叶绿素a的含量来说明水体藻类的含量及评价水体的富营养水平。
(1)基本方程
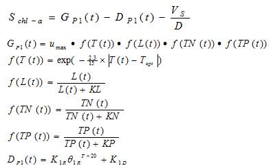
根据质量守恒原理可得富营养化变量的基本方程为:

式中:Cchl-a为叶绿素a的浓度;U、V,Ex,Ey的意义同上;Schl-a为叶绿素a的转化项。

式中:GP1为藻类生长项;DP1为藻类死亡项;Vs为藻类的沉降项;T(t)为温度;Topt为藻类生长的最佳温度;D为水深;KN、KP为氮和磷的半饱和常数;L为水面上的光照强度;K1R为藻类的呼吸率;θ1R为系数;K1D为藻类死亡率。
(2)定解条件
1)初始条件

2)边界条件
岸边界:
。
水边界,入流边界:C=C进;出流边界:
。